Hallo zusammen,
erstmal Danke für das zusammenführen der Beiträge. Ich habe euren Ratschlag befolgt und die Füße stillgehalten. Die FS-Stelle hat dann von mir gefordert ein kurzer schreiben zu senden, dass ich die Atteste nicht nachweisen kann, damit mein Verfahren weitergeht.
Ich habe jetzt ein Fachärztliches Gutachten angeordnet (ganzer Brief im Anhang) und versuche mich darauf vorzubereiten.
Fragestellungen:
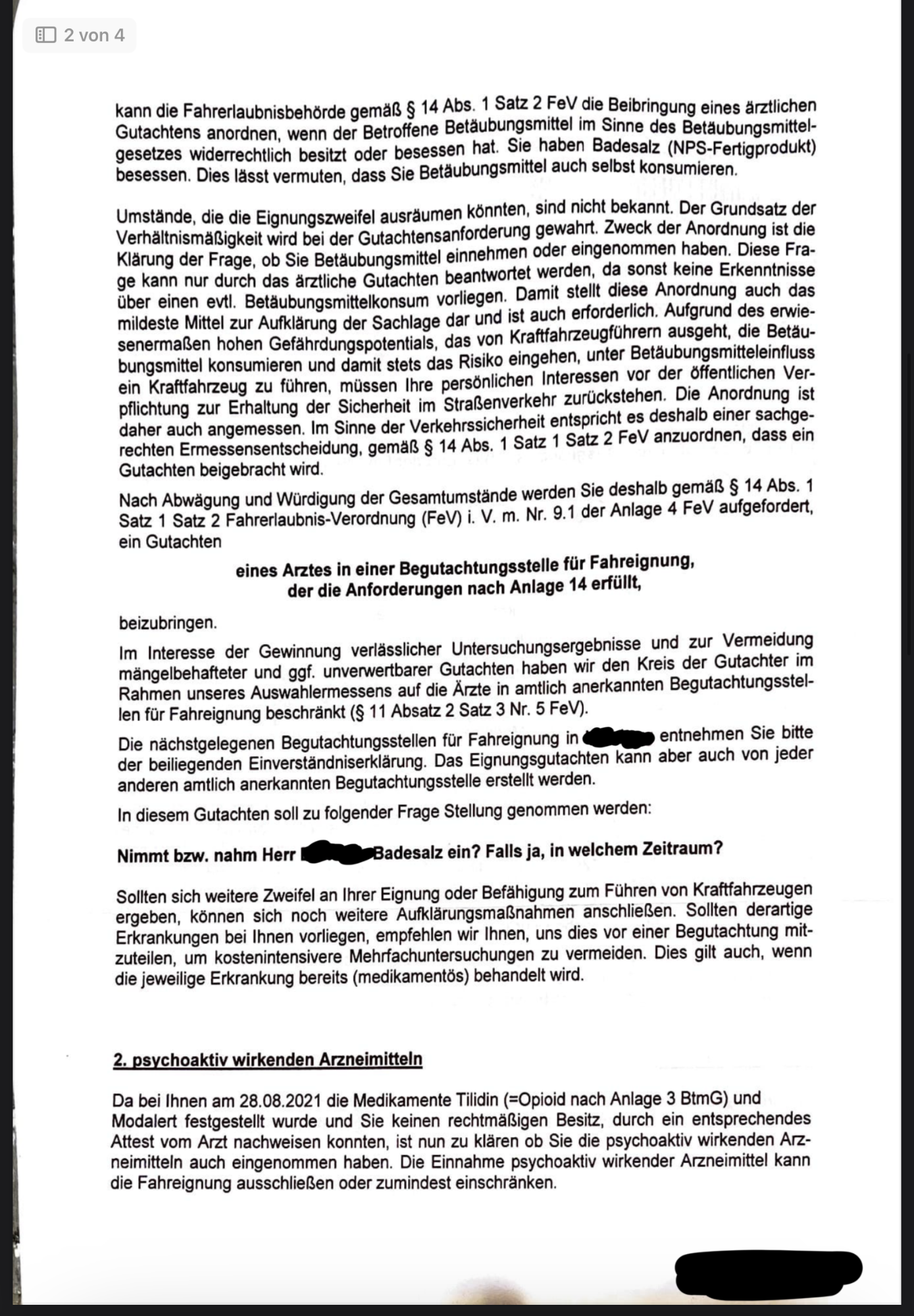
1. Nimmt bzw. nahm Herr XY Badesalz ein? Falls ja, in welchem Zeitraum?
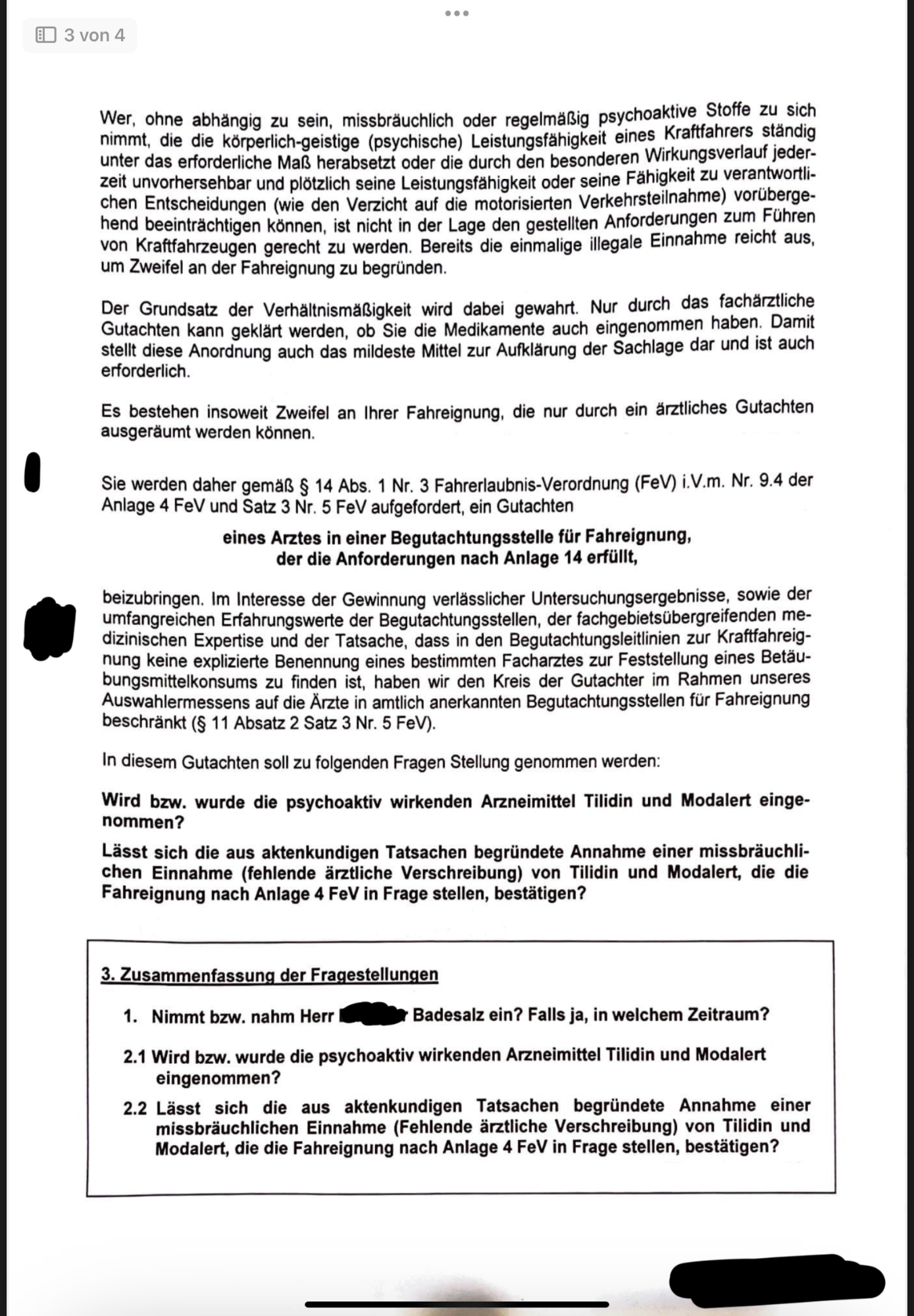
2.1 Wird bzw. wurde die psychoaktiv wirkenden Arzneimittel Tilidin und Modalert eingenommen?
2.2 Lässt sich die aus aktenkundigen Tatsachen begründete Annahme einer
missbräuchlichen Einnahme (Fehlende ärztliche Verschreibung) von Tilidin und Modalert, die die Fahreignung nach Anlage 4 FeV in Frage stellen, bestätigen?
Ergibt sich aus der ärztlichen Begutachtung ein - auch zurückliegender - fahreignungs-ausschließender Betäubungsmittelkonsum oder eine missbräuchliche Einnahme von psychoaktiv wirkenden Arzneimitteln, ist die Fahrerlaubnisbehörde je nach Sach- und Rechtslage im Einzelfall gehalten, weitere Aufklärungsmaßnahmen zu ergreifen, so etwa eine medizinisch-psychologische Untersuchung durch eine amtlich anerkannte Begutachtungsstelle anzuordnen oder die Fahrerlaubnis unmittelbar zu versagen. Im Falle einer weiterführenden Untersuchung erfolgt eine gesonderte Anordnung.
Mir wurde von der FS-Stelle am Telefon gesagt, dass ich eine MPU absolvieren muss, falls das Gutachten bestätigt, dass ich Tilldidin/Modalert/Badesalze konsumiert habe.
Ich kann aktuell 12 Monate Abstinenz auf Drogen erweitert mit Opioiden + Modafinil + 3 Monate Alkohol nachweisen. Diesen Nachweis hat die FS-Stelle auch.
Zu den Badesalzen: Ich habe diese nie konsumiert/besessen, das waren CBD Kristalle aus einem deutschen Onlineshop mit Laborzertifikat. Diese wurden auf der Polizeiwache mit einem Schnelltest fälschlicherweise als Badesalze identifiziert. Das wird mir der Arzt aber nicht glauben, oder?
Mein Plan für das Gutachten ist folgender (Lügen habe ich Rot eingefärbt):
Ich sage ich habe die Substanzen nie konsumiert. Ein Freund von mir aus meinem alten Freundeskreis hat damals regelmäßig Tillidin konsumiert, sowie Modafinil zum lernen verwendet. Er kaufte außerdem Badesalze im Internet ein. Er schenkte mir diese Substanzen, dass ich sie auch mal probieren kann. Ich wollte das Angebot damals nicht ablehnen, um nicht als Weichei vor ihm dazustehen, hatte aber nie vor die Substanzen zu konsumieren. Damals war ich sozial sehr ängstlich und dieser Freund plus diese Freundesgruppe waren meine einzigen Kontaktpersonen. In der Freundesgruppe war Konsum alltäglich.
Jetzt ist die Frage: Erwähne ich das ich seit März 2023 in Therapie bin und meine sozialen Ängste gut in Angriff genommen habe(eine große Angst von mir war tatsächlich, dass Leute schlecht über mich denken könnten) oder könnte mir das weitere Probleme bereiten? Meine Therapeutin könnte mir ein Attest über meine Therapie schreiben und meinen positiven Verlauf und Prognose erwähnen.
Inzwischen habe ich keinen Kontakt mehr zu diesen Leuten und mir zwei neue Freundesgruppen aufgebaut (die Leute habe ich im Soziale Arbeit und Psychologie Studium kennen gelernt) . Ich bin mir bewusst, dass dies dumm war. Inzwischen lebe ich ein sehr geordnetes Leben, fokussiere mich auf meinen Studiengang und habe keinerlei Kontakt zu konsumierenden Personen.
Ich würde diese Geschichte erst erzählen, wenn der Arzt mich überhaupt frägt, woher ich die Substanzen hatte und warum. Ich benötige ja eine glaubhafte Geschichte, warum ich diese Substanzen besessen habe. Denkt ihr ich muss genaue Namen nennen?
Eine andere Variante wäre noch: Ich sage, dass ich die Substanzen für einen damaligen Freund verwahrt habe, der mit dem Konsum aufhören wollte und sie mir geschenkt hat. Ich finde die obere Variante aber glaubwürdiger, wie seht ihr das?
Der Führerscheinstelle ist bekannt dass ich Cannabis konsumiert habe (Trunkenheitsfahrt, mehr Infos siehe Profilfragebogen). Denkt ihr ich werde zu dem Cannabiskonsum auch gefragt, er kommt ja in den Fragestellungen nicht vor. Falls ja, wäre es vermutlich am schlausten zu sagen, dass ich damals unregelmäßig mit der besagten Freundesgruppe konsumierte, oder?
Was haltet ihr von dieser Strategie? Eine bessere fällt mir nicht ein.
Wie hoch schätzt ihr meine Chancen ein das Gutachten so zu bestehen?
Habt ihr noch Tipps wie ich mich darauf vorbereiten kann? Mein Verkehrstherapeut meinte er kann mir dabei nicht groß helfen und glaubt nicht das ich mit einer Lügengeschichte Erfolg haben werde. Ich versuche möglichst viel im Forum und Internet zu lesen.
Andere Sache:
Mir wurde vor einem Monat ADHS diagnostiziert und ich möchte schnellstmöglich Medikamente einnehmen. Mit Ritalin (Btm-Medikament) werde ich warten bis das alles vorbei ist, um zu verhindern, noch ein Ärztliches Gutachten angeordnet zu bekommen. Allerdings könnte mir meine Psychiaterin ein Antidepressivum (Bupropion, nicht Btm, Spiegelmedikament, geringes missbrauchspotential) verschreiben, das auch gegen ADHS helfen kann. Denkt ihr ich könnte Probleme mit der FS-Stelle bekommen, wenn ich das Medikament einnehme, bzw. bei dem ärztlichen Gutachten bekannt wird, dass ich es einnehme? Ich vermute mal, dass bei dem Gutachten mit Fragebögen abgefragt wird, ob ich zur Zeit Medikamente einnehme.
Vielen Dank für eure Hilfe schon mal im Voraus
Tom